زیرساخت پایدار برگزاری آزمون آنلاین
www.digiform.ir

آزمون ریاضی پایه هشتم شهریوو 99 دبیرستان آیت اله طالقانی متوسطه اول منطقه 4 تهرا به صورت دیجی فرم

تذکرات مهم 1- دانش آموزان عزیز دقت داشته باشید که امکان بازگشت و اصلاح پاسخ ها امکان پذیر نیست بنابر این با دقت به سوالات پاسخ دهید. 2- فقط یک بار می توانید در آزمون شرکت کنید.

digiform

استفاده از اپلیکیشن ها و پیامرسان ها، پاسخ به تماس ها و استفاده از کلید های پایین موبایل مجاز نیست

زمان تکمیل این آزمون 60 دقیقه میباشد

پس از پاسخ به هر سوال، امکان بازگشت و ویرایش پاسخ وجود ندارد



تایید و ادامه
نام و نام خانوادگی خود را وارد نمایید *



تایید

شماره کلاس خود را وارد نمایید *



تایید

نام معلم خود را وارد نمایید *



تایید

قطر مستطیل مقابل کدام است؟
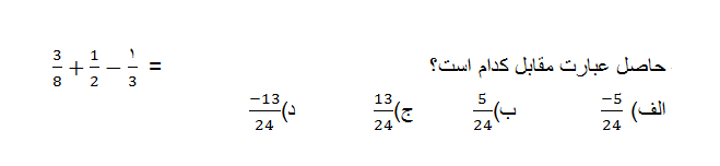
دریافت سوال 9



تایید

دریافت سوال 7



تایید

دریافت سوال 17



تایید

بین 30 و 40 چند عدد مرکب داریم؟



تایید

دریافت سوال 18



تایید

اندازه ی زاویه ی داخلی 5 ضلعی منتظم چند درجه است؟



تایید

در شکل مقابل مقدار x کدام است؟
دریافت سوال 16



تایید

دریافت سوال 13



تایید

دریافت سوال 19



تایید

در تساوی مقابل مقدار x کدام است؟
دریافت سوال 10



تایید

دریافت سوال 5



تایید

کدام گزینه نادرست است؟



تایید

دریافت سوال 2



تایید

هر عدد کسری یا اعشاری مثبت و منفی یک عدد گویا است.



تایید

حاصل ضرب هر عدد در ................... برابر با یک می شود.



تایید

14 ضلعی منتظم دارای مرکز تقارن است.



تایید

کدام یک از نمودار های زیر برای بررسی تغییرات دمای شیراز در آبان ماه مناسب تر است؟



تایید

دریافت سوال 20



تایید

بزرگترین عدداول دورقمی ، عدد............. است.



تایید

دریافت سوال 11



تایید