زیرساخت پایدار برگزاری آزمون آنلاین
www.digiform.ir

آزمون ریاضی مهر ماه 1400 به صورت دیجی فرم

به نام خدا 
آزمون 10 سوال تستی است و نمره منفی ندارد و اجازه برگشت به عقب  ندارید.

digiform

استفاده از اپلیکیشن ها و پیامرسان ها، پاسخ به تماس ها و استفاده از کلید های پایین موبایل مجاز نیست

زمان تکمیل این آزمون 30 دقیقه میباشد

پس از پاسخ به هر سوال، امکان بازگشت و ویرایش پاسخ وجود ندارد



تایید و ادامه
نام و نام خانوادگی خود را وارد نمایید *



تایید

(2 نمره)
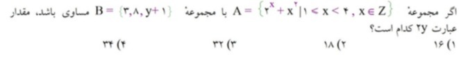
دریافت سوال 4



تایید

(2 نمره)
دریافت سوال 8



تایید

(2 نمره)
دریافت سوال 9



تایید

(2 نمره)
دریافت سوال 7



تایید

(2 نمره)
دریافت سوال 3



تایید

(2 نمره)
دریافت سوال 1



تایید

(2 نمره)
دریافت سوال 6



تایید

(2 نمره)
دریافت سوال 5



تایید

(2 نمره)
دریافت سوال 2



تایید

(2 نمره)
دریافت سوال 10



تایید