زیرساخت پایدار برگزاری آزمون آنلاین
www.digiform.ir

آزمون آغازین پایه نهم دبیرستان دولتی پروین اعتصامی به صورت دیجی فرم

بسم الله الرحمن الرحیم

هر دانش‌آموز صرفا یکبار حق ورود به آزمون را دارد؛ پس توجه داشته باشید که پس از شروع آزمون، تا اتمام از صفحه آزمون خارج نشوید؛ زیرا مجددا به شما اجازه ورود به آزمون داده نخواهد شد.

از ساعت 7:30 تا 8 فرصت دارید وارد صفحه آزمون شوید.

تا ساعت 8:30 وقت دارید تا به سوالات پاسخ دهید.

موفق باشید

digiform

استفاده از اپلیکیشن ها و پیامرسان ها، پاسخ به تماس ها و استفاده از کلید های پایین موبایل مجاز نیست

زمان تکمیل این آزمون 60 دقیقه میباشد

پس از پاسخ به هر سوال، امکان بازگشت و ویرایش پاسخ وجود ندارد



مرحله بعد
نام خود را وارد نمایید *



تایید

نام خانوادگی خود را وارد نمایید *



تایید

معادله مختصاتی زیر را حل کنید (2 نمره)
دریافت سوال 10



تایید

حاصل عبارات زیر را به صورت توان‌دار به دست آورید (2 نمره)
دریافت سوال 2



تایید

معادله کسری زیر را حل کنید (2 نمره)
دریافت سوال 9



تایید

میانگین نمره‌های 8 درس یک دانش‌آموز 16/25 است. اگر نمره‌های دو درس دیگر او، که 17 و 15 است به این داده‌ها اضافه شود، میانگین جدید چه تغییری می‌کند؟ (2 نمره)



تایید

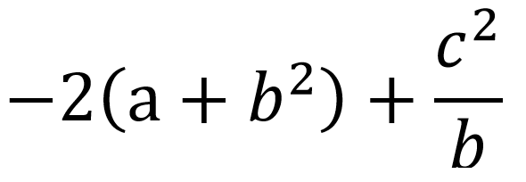
مقدار عددی عبارت‌های زیر به ازای a=6 و b=-2 و c=-4 به‌دست آورید. (2 نمره)
دریافت سوال 5



تایید

(2 نمره)
دریافت سوال 6



تایید

دو تاس را می‌اندازیم؛ احتمال اینکه جفت شش بیاید را بیابید. (2 نمره)
دریافت سوال 8



تایید

حاصل عبارات زیر را به دست آورید (2 نمره)
دریافت سوال 1



تایید

حاصل عبارات زیر را به دست آورید (2 نمره)
دریافت سوال 3



تایید

حاصل عبارات رو‌به‌رو را به دست آورید =15.4-12.8 (2 نمره)



تایید