زیرساخت پایدار برگزاری آزمون آنلاین
www.digiform.ir

آزمون ریاضی نوبت دوم کلاس هفتم 3 به صورت دیجی فرم

به نام حق
                   

digiform

استفاده از اپلیکیشن ها و پیامرسان ها، پاسخ به تماس ها و استفاده از کلید های پایین موبایل مجاز نیست

زمان تکمیل این آزمون 35 دقیقه میباشد

پس از پاسخ به هر سوال، امکان بازگشت و ویرایش پاسخ وجود ندارد



مرحله بعد
نام ونام خانوادگی و نام پدر *



تایید

(0.5 نمره)
دریافت سوال 62



تایید

(0.5 نمره)
دریافت سوال 12



تایید

(0.5 نمره)
دریافت سوال 66



تایید

(0.5 نمره)
دریافت سوال 47



تایید

(0.5 نمره)
دریافت سوال 59



تایید

تفاوت بردارهای مساوی و قرینه در چیست؟ (0.5 نمره)



تایید

(0.5 نمره)
دریافت سوال 68



تایید

آمدن عدد بزرگتر از 6 در پرتاب تاس : (0.5 نمره)



تایید

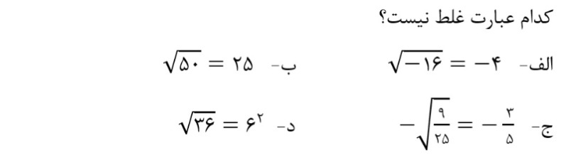
کدام جمله صحیح نیست؟ (0.5 نمره)



تایید

حاصل عبارت زیر برابر است با:

(0.5 نمره)
دریافت سوال 17



تایید

چندتا از جملات زیر صحیح هستند؟
عدد 23 فقط دو شمارنده دارد.
عدد 49 اول نیست.
عدد 25 دارای یک شمارنده ی اول است.
تعداد مضرب های یک عدد بی شمار است.
(0.5 نمره)



تایید

(0.5 نمره)
دریافت سوال 105



تایید

(0.5 نمره)
دریافت سوال 26



تایید

(0.5 نمره)
دریافت سوال 100



تایید

(0.5 نمره)
دریافت سوال 37



تایید

جواب معادله ی زیر در کدام گزینه آمده است؟

6x-3 = 3x+12

(0.5 نمره)



تایید

(0.5 نمره)
دریافت سوال 53



تایید

(0.5 نمره)
دریافت سوال 98



تایید

(0.5 نمره)
دریافت سوال 103



تایید

(0.5 نمره)
دریافت سوال 23



تایید