زیرساخت پایدار برگزاری آزمون آنلاین
www.digiform.ir

آزمون ریاضی کلاس هفتم پارسا به صورت دیجی فرم

آزمون ریاضی کلاس هفتم نوبت دوم  با توکل بر خداوند متعال شروع کنید. 

digiform

استفاده از اپلیکیشن ها و پیامرسان ها، پاسخ به تماس ها و استفاده از کلید های پایین موبایل مجاز نیست

زمان تکمیل این آزمون 80 دقیقه میباشد



مرحله بعد
نام و نام خانوادگی خود را وارد نمایید *



تایید

شماره تلفن همراه  خود را وارد نمایید *



تایید

عقربه چرخنده ای را  که اعداد  1 تا 8  روی آن نوشته شده است را می چرخانیم احتمال ایستادن عقربه روی هر عدد را بنویسید .

الف ) عقربه روی عدد  6  باشد .

ب)عقربه روی عدد اول باشد .

ج)عقربه روی عددی بیشتر از 8 را نشان دهد .

د) اگر عقربه را 400 بار بچرخانیم انتظار داریم چندبار روی عدد 3 بیاید؟

(2 نمره)



تایید

(2 نمره)
دریافت سوال 12



تایید

به سوالات پاسخ کوتاه دهید.
1- هشتمین مضرب 10  برابر .......
2-  36 چندمین مضرب 9 است؟
3- بزرگترین شمارنده هر عدد .........
4- اگر روی یک خط راست 10 نقطه قرار دهیم تعداد نیم خطها برابر ........ است
(2 نمره)



تایید

چند ضلعی محدب را تعریف کنید و مثال ذکر کنید. (1 نمره)



تایید

ب م م    و     ک م م   دو عدد  90 و 72 را به کمک  نمودار درختی بدست آورید (2 نمره)



تایید

الف ) اعداد اول کمتر از 30 را بنویسید .


ب) ب م م دو عدد    24 و 30  را به روش نوشتن شمارنده های آنها بدست آورید.

 
(2 نمره)



تایید

(2 نمره)
دریافت سوال 13



تایید

 کدام عدد اول است ؟                                    (1 نمره)



تایید

تاسی را یک بار پرتاب میکنیم احتمال اینکه زوج بیاید چقدر است؟
(1 نمره)



تایید

در شکل مقابل مختصات بردارهای OA  و OB  را بنویسید. (1 نمره)
دریافت سوال 26



تایید

برای اتفاق (امروز تولد یکی از  دوستانمان باشد) کدام گزینه درست است؟ (1 نمره)



تایید

ستونی به شکل منشور 5 پهلو است که هر ضلع آن 0/3 متر و ارتفاع آن 6 متر است.میخواهند بدنه جانبی این ستون را کاشی کاری کنند.چند متر کاشی لازم است؟ (1 نمره)



تایید

  عدد   رادیکال31         بین کدام دو عدد طبیعی قرار دارد؟ (1 نمره)



تایید

ریشه های دوم عدد  کسری   4 بر روی 9     اعداد ........ و ........ می باشند . (1 نمره)



تایید

چند ضلعی  منتظم را تعریف کنید و مثال ذکر کنید. (1 نمره)



تایید

 ب م م    و     ک م م   دو عدد 45 و 60  به ترتیب کدامند؟  (1 نمره)



تایید

(2 نمره)
دریافت سوال 4



تایید

جمله صدم الگویی که جمله nام بصورت   3-5n    می باشد کدام مورد است؟ (1 نمره)



تایید

الف - مختصات نقاط  A , B , C  را تعیین کنید 
ب- شکل را با بردار a  انتقال دهید 
(2 نمره)
دریافت سوال 30



تایید

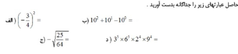
(2 نمره)
دریافت سوال 5



تایید