زیرساخت پایدار برگزاری آزمون آنلاین
www.digiform.ir

آزمون ارزشیابی ریاضی دهم (فصل اول) به صورت دیجی فرم

با دقت به سوالات جواب دهید ، در پایان آزمون هم کد پیگیری را یادداشت کنید. باتشکر (بهزادی)

digiform

استفاده از اپلیکیشن ها و پیامرسان ها، پاسخ به تماس ها و استفاده از کلید های پایین موبایل مجاز نیست

زمان تکمیل این آزمون 40 دقیقه میباشد

پس از پاسخ به هر سوال، امکان بازگشت و ویرایش پاسخ وجود ندارد



تایید و ادامه
نام و نام خانوادگی خود را وارد نمایید *



تایید

کد ملی خود را وارد نمایید *



تایید

رشته تحصیلی خود را وارد نمایید *



تایید

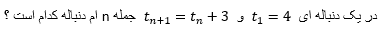
جمله عمومی دنباله حسابی ..... و 2- و 7- کدام است؟ (1 نمره)



تایید

(1 نمره)
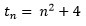
دریافت سوال 19



تایید

جمله دوازدهم یک دنباله حسابی 127 وجمله هفتم آن 92 می باشد. این دنباله را مشخص کنید. (1 نمره)



تایید

حاصل عبارت  مقابل را بدست آورید.        N  -  W   (اعداد طبیعی منهای اعداد حسابی ).

(1 نمره)



تایید

جمله چهارم دنباله  an = n2 - 5  با کدام جمله دنباله   bn = 3n - 7  برابر است ؟ (1 نمره)



تایید

در یک دنباله حسابی جملات پنجم ونهم 17 و33 می باشند . جمله پانزدهم دنباله را بدست آورید. (1 نمره)



تایید

جمله دهم دنباله هندسی     .... و 12 و 6 و 3   را بیابید. (1 نمره)



تایید

هردنباله یا حسابی است یا هندسی . (1 نمره)



تایید

بین 2 و486  چهار واسطه هندسی درج کرده ایم ، قدر نسبت چه عددی است؟ (1 نمره)



تایید

دنباله an = 2n - 13  چند جمله منفی دارد؟ (1 نمره)



تایید

درستی یا نادرستی تساوی زیر را مشخص کنید. (1 نمره)
دریافت سوال 6



تایید

اگر A⊂B باشد و B متناهی باشد ، آنگاه A نامتناهی است . (1 نمره)



تایید