زیرساخت پایدار برگزاری آزمون آنلاین
www.digiform.ir

آزمون تشخیصی ریاضی پنجم. خانم حسین زاده به صورت دیجی فرم

به نام خدا

digiform

استفاده از اپلیکیشن ها و پیامرسان ها، پاسخ به تماس ها و استفاده از کلید های پایین موبایل مجاز نیست

زمان تکمیل این آزمون 40 دقیقه میباشد



تایید و ادامه
نام و نام خانوادگی خود را وارد نمایید *



تایید

نام مدرسه خود را وارد نمایید *



تایید

1.با رقم های(7،2،4،0،8،9) کوچکترین عدد زوج شش رقمی بدون تکرار ارقام را نوشته ایم، کدام رقم، در مرتبه دهگان هزار آن عدد قرار می‌گیرد؟



تایید

2.عدد قبل از 900990009000 کدام عدد است؟



تایید

3.چند عدد دو رقمی وجود دارد که رقم یکان آنها فرد و رقم دهگان آنها زوج باشد



تایید

4.اگر بخواهیم در جمع زیر از تمام ارقام (4،6،3،5،9) استفاده کنیم بیشترین حاصل جمع چقدر خواهد بود؟
دریافت سوال 4



تایید

5.علی ۳۰۰ تومان پول داشت نصف آن را خرج کرد و خمس باقی مانده پولش را به برادرش داد چقدر برای او پول مانده است؟



تایید

6.کدام گزینه بیشترین مقدار را دارد؟
دریافت سوال 6



تایید

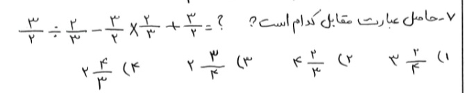
7.حاصل عبارت مقابل کدام است؟
دریافت سوال 7



تایید

8.زاویه داخلی یک ذوزنقه به نسبت 2،4، 5،7 میباشند، کوچکترین زاویه این ذوزنقه چند درجه است؟



تایید

9.سینا ۴۰۰۰ تومان بیشتر از محمد پول دارد اگر نسبت پول سینا به محمد ۷ به ۵ باشد پول محمد چند تومان است؟



تایید

10.در شکل مقابل نیم خط (ب پ) نیمساز زاویه است اندازه زاویه خاص شده چند درجه است؟



تایید

11.در کدام یک از چهار ضلعی های زیر قطرها و نیمساز زاویه ها روی خط تقارن هستند؟



تایید

12.محیط شکل مقابل کدام گزینه است؟
دریافت سوال 12



تایید

13.محور زیر چه ضربی را نشان می دهد؟
دریافت سوال 13



تایید

14.حجم یک مکعب به طول اضلاع ۲۰ با حجم یک مکعب مستطیل با عرض ۱۰ و ارتفاع ۱۶ برابر است طول مکعب مستطیل چقدر است؟



تایید

15.مخزنی به شکل مکعب و به ضلع ۲ متر است گنجایش این مخزن چند لیتر است؟



تایید

16.میانگین ۵ عدد ۳۷ می باشد اگر عدد ۴۵ را از بین داده حذف کنیم میانگین بقیه داده ها چقدر میشود؟



تایید