زیرساخت پایدار برگزاری آزمون آنلاین
www.digiform.ir

آزمون امتحان شهریور ماه 99 هنرستان اتابک درس ریاضی 1 پودمان4 به صورت دیجی فرم

تعداد سوالات 4 سوال در صورتی که این پودمان را مردود شده اید پاسخ دهید !

digiform

استفاده از اپلیکیشن ها و پیامرسان ها، پاسخ به تماس ها و استفاده از کلید های پایین موبایل مجاز نیست

زمان تکمیل این آزمون 15 دقیقه میباشد

پس از پاسخ به هر سوال، امکان بازگشت و ویرایش پاسخ وجود ندارد

در هنگام شروع آزمون دوربین فعال میشود



تایید دوربین
نام و نام خانوادگی خود را وارد نمایید *



تایید

رشته تحصیلی خود را وارد نمایید *



تایید

کد ملی خود را وارد نمایید *



تایید

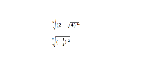
1- ساده شده ی عبارات زیر کدام است ؟
دریافت سوال 1



تایید

3- اندازه دو ضلع زاویه قائمه مثلث روبرو برابر با 5 و 12 می باشد طول وتر را به صورت یک عدد رادیکالی نمایش داده و آن را ساده کرده ایم آیا راه حل زیر و پاسخ نهایی درست است ؟
دریافت سوال 3



تایید

4-ریشه های مشخص شده در اعداد زیر در صورت امکان کدام گزینه است؟ ریشه های چهارم عدد ۱۶ (الف ریشه های ششم 27- (ب ریشه سوم عدد ۲۷ (ج ریشه سوم عدد 125- (د



تایید

2- توان دوم اعداد قرینه چه رابطه ای با هم دارند؟



تایید