زیرساخت پایدار برگزاری آزمون آنلاین
www.digiform.ir

آزمون ریاضی3 از مشتقپذیری تا بهینه سازی به صورت دیجی فرم

بنام خدا

digiform

استفاده از اپلیکیشن ها و پیامرسان ها، پاسخ به تماس ها و استفاده از کلید های پایین موبایل مجاز نیست

زمان تکمیل این آزمون 80 دقیقه میباشد



تایید و ادامه
نام و نام خانوادگی خود را وارد نمایید *



تایید

کد ملی خود را وارد نمایید *



تایید

(1 نمره)
دریافت سوال 17



تایید

(1 نمره)
دریافت سوال 14



تایید

(1 نمره)
دریافت سوال 8



تایید

(1 نمره)
دریافت سوال 19



تایید

(1 نمره)
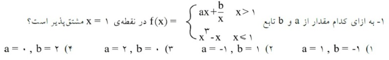
دریافت سوال 4



تایید

(1 نمره)
دریافت سوال 10



تایید

(1 نمره)
دریافت سوال 11



تایید

(1 نمره)
دریافت سوال 3



تایید

(1 نمره)
دریافت سوال 13



تایید

(1 نمره)
دریافت سوال 9



تایید