زیرساخت پایدار برگزاری آزمون آنلاین
www.digiform.ir

آزمون پایانی ریاضی 2 به صورت دیجی فرم

                                 باسمه تعالی
نام درس : ریاضی2        پایه :  یازدهم      شعبه : تجربی                         نوبت امتحانی : خرداد 1400                              نام آموزشگاه : دبیرستان نمونه دولتی محدثه               تاریخ امتحان : 8 /3/ 1400        مدت امتحان : 30 دقیقه      

digiform

استفاده از اپلیکیشن ها و پیامرسان ها، پاسخ به تماس ها و استفاده از کلید های پایین موبایل مجاز نیست

زمان تکمیل این آزمون 30 دقیقه میباشد



مرحله بعد
نام و نام خانوادگی خود را وارد نمایید *



تایید

اگر ضریب تغییرات داده ها برابر5/ 1 (یک ونیم) و میانگین 4 باشد. واریانس برابر است با........... (0.5 نمره)



تایید

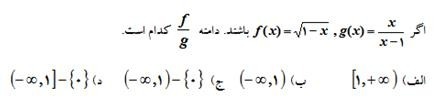
(0.5 نمره)
دریافت سوال 14



تایید

(0.5 نمره)
دریافت سوال 6



تایید

(0.5 نمره)
دریافت سوال 7



تایید

اندازه زاویه مرکزی مقابل به کمانی به طول 5 در دایره ای به شعاع 10 برابر ................... رادیان است. (0.5 نمره)



تایید

(0.5 نمره)
دریافت سوال 19



تایید

اگر نسبت تشابه دو مثلث دوسوم باشد و مساحت مثلث بزرگتر 36 باشد، مساحت مثلث کوچکتر کدام است؟ (0.5 نمره)



تایید

اگراز همه داده ها عدد ثابت 3 را کم کنیم، ضریب تغییرات داده ها چه تغییری می کند؟ (0.5 نمره)



تایید

(0.5 نمره)
دریافت سوال 24



تایید

(0.5 نمره)
دریافت سوال 2



تایید

(0.5 نمره)
دریافت سوال 17



تایید

علی به احتمال  6/ 0 در تیم کوهنوردی مدرسه و به احتمال 7/ 0 در تیم ملی فوتبال نوجوانان انتخاب می شود. چقدر احتمال دارد، علی فقط در تیم ملی فوتبال انتخاب شود. (0.5 نمره)



تایید

(0.5 نمره)
دریافت سوال 15



تایید

(0.5 نمره)
دریافت سوال 4



تایید

میانگین 10 داده آماری برابر7/ 34 ( سی چهار و هفت دهم) است، اگردو داده 25 و 30 را به این داده ها اضافه کنیم. میانگین جدید چقدر است. (0.5 نمره)



تایید

در یک خانواده سه فرزندی می دانیم که دست کم یکی از فرزندان آن ها پسر است. احتمال اینکه دقیقا یک فرزند پسر باشد چقدر است؟ (0.5 نمره)



تایید

(0.5 نمره)
دریافت سوال 23



تایید

(0.5 نمره)
دریافت سوال 1



تایید

(0.5 نمره)
دریافت سوال 12



تایید

چارک سوم داده های 11، 9، 5، 9، 8، 10 ، 12،12، 14 کدام است؟ (0.5 نمره)



تایید