زیرساخت پایدار برگزاری آزمون آنلاین
www.digiform.ir

آزمون کپی از *بسم‌الله الرحمن الرحیم* آزمون مجدد پودمان 5 ریاضی 1 (پایه دهم )هنرستان نمونه دولتی حضرت مریم(س) به صورت دیجی فرم

سلام 
به 15سوال در مدت زمان 60دقیقه پاسخ دهید.


digiform

استفاده از اپلیکیشن ها و پیامرسان ها، پاسخ به تماس ها و استفاده از کلید های پایین موبایل مجاز نیست

زمان تکمیل این آزمون 60 دقیقه میباشد

پس از پاسخ به هر سوال، امکان بازگشت و ویرایش پاسخ وجود ندارد



تایید و ادامه
نام و نام خانوادگی و رشته تحصیلی خود را وارد نمایید *



تایید

درشکل مقابل  سینوس زاویه ی A را محاسبه کنید  (1 نمره)
دریافت سوال 5



تایید

با استفاده از جدول مقادیر ۳۰ و۴۵ و۶۰ درجه پاسخ دهید. کدام گزینه درست است. (1 نمره)
دریافت سوال 21



تایید

هرچه زاویه ی تندی بزرگتر شود کسینوس آن زاویه .............می شود  (1 نمره)



تایید

(1 نمره)
دریافت سوال 13



تایید

(1 نمره)
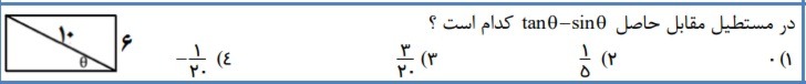
دریافت سوال 36



تایید

(1 نمره)
دریافت سوال 16



تایید

از جدول مقادیر ۳۰و۴۵و۶۰ درجه استفاده کنید. (1 نمره)
دریافت سوال 19



تایید

(1 نمره)
دریافت سوال 23



تایید

(1 نمره)
دریافت سوال 17



تایید

(1 نمره)
دریافت سوال 31



تایید

(1 نمره)
دریافت سوال 35



تایید

(1 نمره)
دریافت سوال 7



تایید

(1 نمره)
دریافت سوال 30



تایید

حاصل عبارت زیر برابر کدام گزینه است ؟       برای پاسخ گویی از مقادیر جدول ۳۰و۴۵و ۶۰ درجه استفاده کنید. (1 نمره)
دریافت سوال 6



تایید

(1 نمره)
دریافت سوال 33



تایید