زیرساخت پایدار برگزاری آزمون آنلاین
www.digiform.ir

آزمون ریاضی هشتم فصل ۱ به صورت دیجی فرم

به نام خدا آزمون ۱۰ سوال تستی و ۵ سوال تشریحی می باشد . توجه * تا پایان آزمون پاسخ پرسش های تشریحی را به همراه چرک نویس حل پرسش های تستی از طریق تلگرام ارسال نمایید . در صورت عدم ارسال چرک نویس نمره پاسخ های تستی صفر خواهد بود .

digiform

استفاده از اپلیکیشن ها و پیامرسان ها، پاسخ به تماس ها و استفاده از کلید های پایین موبایل مجاز نیست

زمان تکمیل این آزمون 90 دقیقه میباشد

در هنگام شروع آزمون دوربین فعال میشود



تایید دوربین
نام و نام خانوادگی خود را وارد نمایید *



تایید

شماره موبایل خود را وارد نمایید *



تایید

اعداد حسابی را با چه نمادی نشان می دهند ؟



تایید

قرینه بزرگترین عدد ۴ رقمی منفی کدام گزینه می باشد ؟



تایید

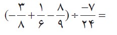
حاصل عبارت زیر را به دست آورید .
دریافت سوال 10



تایید

حاصل عبارت های زیر را بیابید . = [ 9 + 13 - 14 + (17-)-]



تایید

درستی یا نادرستی عبارت زیر را مشخص نمایید. « معکوس هر عدد صحیح یک عدد گویاست »



تایید

کامل کنید .
دریافت سوال 7



تایید

حاصل عبارت های زیر را بیابید .
دریافت سوال 5



تایید

حاصل عبارت زیر را به دست آورید .
دریافت سوال 11



تایید

حاصل عبارت زیر را به دست آورید . = ۴۰ + ۳۹ + ... + ۳ + ۲ + ۱



تایید

تنها عددی که معکوس ندارد .......... است .



تایید

کدام گزینه از ویژگی های اعداد گویا نمی باشد ؟



تایید

برای محور زیر یک جمع با عدد های گویا بنویسید .
دریافت سوال 9



تایید

بین دو عدد ۱۷- و ۲۳+ چند عدد صحیح غیر منفی وجود دارد ؟



تایید

حاصل عبارت های زیر را بیابید ( با تبدیل به عبارت های گویا حل کنید)
دریافت سوال 6



تایید

دمای هوای شیراز ۱۵ درجه بالای صفر، دمای هوای تبریز 20 درجه سردتر از دمای هوای شیراز و دمای هوای اصفهان ۶ درجه گرم تر از دمای هوای تبریز است . میانگین دمای هوای این سه شهر چند درجه است ؟



تایید