زیرساخت پایدار برگزاری آزمون آنلاین
www.digiform.ir

آزمون مستمر بهمن ماه یازدهم تجربی به صورت دیجی فرم

 تعداد سوالات 10 تست و زمان آزمون 40 دقیقه می باشد

digiform

استفاده از اپلیکیشن ها و پیامرسان ها، پاسخ به تماس ها و استفاده از کلید های پایین موبایل مجاز نیست

زمان تکمیل این آزمون 40 دقیقه میباشد

پس از پاسخ به هر سوال، امکان بازگشت و ویرایش پاسخ وجود ندارد



تایید و ادامه
نام و نام خانوادگی خود را وارد نمایید *



تایید

دو ظرف يكسان حاوي مقدار مساوي آب و روغن زيتون در دماي ℃25 موجود است. اگر تخم مرغ در آب ℃75 در مدت پنج دقيقه پخته شود، در همين مدت زمان در روغن زيتون در چه دمايي بر حسب درجه سانتیگراد پخته خواهد شد؟ (ژول بر گرم بر درجه سانتیگراد 2= ظرفیت گرمایی ویژة روغن زیتون و  4.2 = ظرفیت گرمایی ویژة آب) (1 نمره)



تایید

با توجه به جدول زیر، کدام گزینه صحیح است؟ (1 نمره)
دریافت سوال 3



تایید

يك تكه ورقۀ آلومينيمي به جرم 4.2گرم و با دماي 60 درجۀ سلسيوس را درون 45 گرم آب با دماي 9 درجۀ سلسيوس مي اندازيم تا هم دما شوند. دماي تعادلي كدام است؟ 
(0.9= cAl و 4.2= cH2O ژول بر گرم بر درجه سانتیگراد)
(1 نمره)



تایید

اگر انرژي لازم براي شكستن تمام پيوندهاي موجود در يك مول متان و يك مول پروپان به ترتيب برابر 1660 و 4016 کیلوژول باشد، میانگین آنتالپی پیوند C-C چند کیلوژول بر مول است؟ (1 نمره)



تایید

با توجه به جدول داده شده، آنتالپي واكنش زير بر حسب كيلوژول كدام است؟ (1 نمره)
دریافت سوال 10



تایید

با توجه به شکل زیر کدام یک از عبارت های زیر صحیح نمی باشد؟ (گرم بر مول 16= O و 1= H)

  (1 نمره)
دریافت سوال 6



تایید

از واکنش 0.2مول نيتروژن دي اكسيد با مقدار كافي گاز اكسيژن و توليد دي نيتروژن پنتا اكسيد مقدار KJ5/5 گرما آزاد مي شود، از تشكيل 0.5 مول دي نيتروژن پنتا اكسيد در اين واكنش چند كيلوژول گرما آزاد مي شود؟ (1 نمره)



تایید

با توجه به شکل ها و اطلاعات داده شده، ظرفیت گرمایی ویژه آب و روغن زیتون به ترتیب برابر با ... و ... (J/(g.℃)) بوده و اگر در دو ظرف، جداگانه مقدار یکسانی آب و روغن زیتون بریزیم، تخم مرغ در ظرف حاوی .... بهتر می پزد. (1 نمره)
دریافت سوال 2



تایید

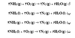
با فرض اينكه گرماي لازم براي تبخير يك مول آب دو برابر گرماي تبخير مولي آمونياك باشد، ترتيب مقدار گرماي حاصل از واكنش هاي (آ) تا (ت) در كدام گزينه به درستي  از بزرگ به کوچک ( راست به چپ ) ارائه شده است؟ (1 نمره)
دریافت سوال 7



تایید

عبارت کدام گزینه، به طور صحیح بیان شده است؟ (1 نمره)



تایید