زیرساخت پایدار برگزاری آزمون آنلاین
www.digiform.ir

آزمون تستی نوبت دوم درس آمار و احتمال یازده ریاضی به صورت دیجی فرم

اداره آموزش و پرورش شهرستان اردل
مدرسه شهید رجایی اردل
طراح: هادی صادقی

digiform

استفاده از اپلیکیشن ها و پیامرسان ها، پاسخ به تماس ها و استفاده از کلید های پایین موبایل مجاز نیست

زمان تکمیل این آزمون 40 دقیقه میباشد

پس از پاسخ به هر سوال، امکان بازگشت و ویرایش پاسخ وجود ندارد

در هنگام شروع آزمون دوربین فعال میشود



مرحله بعد
نام و نام خانوادگی خود را وارد نمایید *



تایید

(2 نمره)
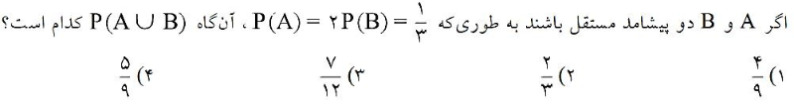
دریافت سوال 40



تایید

(2 نمره)
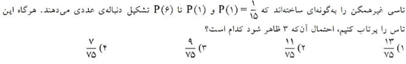
دریافت سوال 26



تایید

(2 نمره)
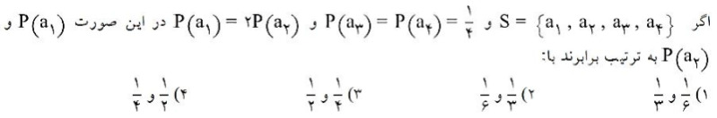
دریافت سوال 17



تایید

(2 نمره)
دریافت سوال 20



تایید

(2 نمره)
دریافت سوال 33



تایید

(2 نمره)
دریافت سوال 30



تایید

(2 نمره)
دریافت سوال 15



تایید

(2 نمره)
دریافت سوال 9



تایید

(2 نمره)
دریافت سوال 8



تایید

(2 نمره)
دریافت سوال 21



تایید