زیرساخت پایدار برگزاری آزمون آنلاین
www.digiform.ir

آزمون ریاضی 2 پایه یازده به صورت دیجی فرم

digiform

استفاده از اپلیکیشن ها و پیامرسان ها، پاسخ به تماس ها و استفاده از کلید های پایین موبایل مجاز نیست

زمان تکمیل این آزمون 60 دقیقه میباشد



تایید و ادامه
نام و نام خانوادگی خود را وارد نمایید *



تایید

کد ملی خود را وارد نمایید *



تایید

(1 نمره)
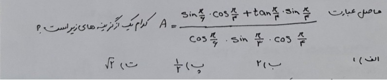
دریافت سوال 9



تایید

(1 نمره)
دریافت سوال 1



تایید

(1 نمره)
دریافت سوال 7



تایید

(1 نمره)
دریافت سوال 3



تایید

(1 نمره)
دریافت سوال 21



تایید

(1 نمره)
دریافت سوال 11



تایید

(1 نمره)
دریافت سوال 14



تایید

(1 نمره)
دریافت سوال 18



تایید

(1 نمره)
دریافت سوال 10



تایید

(1 نمره)
دریافت سوال 6



تایید