زیرساخت پایدار برگزاری آزمون آنلاین
www.digiform.ir

آزمون جامع ماهانه دبیرستان پسرانه غیر دولتی نصر .پایه دهم تجربی و ریاضی اسفند ماه 1400 به صورت دیجی فرم

قابل دانش آموزان عزیز مدارس پسرانه غیر
دولتی نصر  :


آزمون جامع ماهانه اسفند ماه دبیرستان پسرانه
غیر دولتی نصر پایه های دهم تجربی و ریاضی  به صورت چند گزینه ای از طریق سامانه الکترونیکی
برگزار خواهد شد.


زمان آزمون روز شنبه 7 اسفند ماه راس ساعت 20.30
شب   


تعداد سوالات 90  مورد میباشد. پاسخ نادرست نمره منفی دارد.

ترتیب سوالات عبارت است از:  ریاضی- فیزیک- شیمی هندسه زیست- - فارسی عربی دینی زبان انگلیسی

مدت زمان آزمون: 120 دقیقه میباشد. لازم است
سوالات را بترتیب پاسخ دهید.


شرکت در آزمون یکبار میباشد.

تذکر :: سامانه هوشمند بوده و در صورت تقلب
و استفاده از سایر اپلیکشن ها موارد ثبت گردیده و نمره درج نخواهد شد.


به نفرات برتر جوایز ارزشمند اهدا و نمرات کسب
شده بعنوان نمرات مستمر در نظر گرفته خواهد شد.


موفق باشید 

digiform

استفاده از اپلیکیشن ها و پیامرسان ها، پاسخ به تماس ها و استفاده از کلید های پایین موبایل مجاز نیست

زمان تکمیل این آزمون 120 دقیقه میباشد

پس از پاسخ به هر سوال، امکان بازگشت و ویرایش پاسخ وجود ندارد



مرحله بعد
نام و نام خانوادگی خود را وارد نمایید *



تایید

کد ملی خود را وارد نمایید *



تایید

رشته تحصیلی خود را وارد نمایید *



تایید

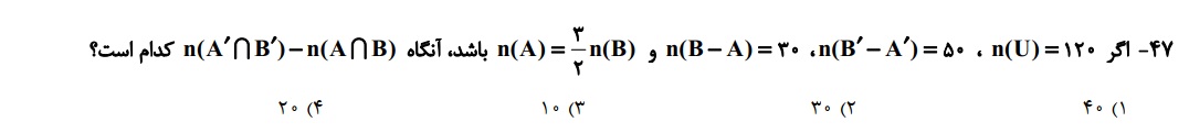
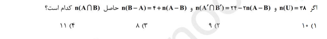
سوال 1: رياضي  (1 نمره)
دریافت سوال 1



تایید

سوال2 (1 نمره)
دریافت سوال 2



تایید

سوال 3 (1 نمره)
دریافت سوال 3



تایید

سوال 4 (1 نمره)
دریافت سوال 4



تایید

سوال 5 (1 نمره)
دریافت سوال 5



تایید

سوال 6 (1 نمره)
دریافت سوال 6



تایید

سوال 7 (1 نمره)
دریافت سوال 7



تایید

سوال 8 (1 نمره)
دریافت سوال 8



تایید

سوال 9 (1 نمره)
دریافت سوال 9



تایید

سوال 10 (1 نمره)
دریافت سوال 10



تایید

گزينه 11: فيزيك (1 نمره)
دریافت سوال 11



تایید

سوال 12 (1 نمره)
دریافت سوال 12



تایید

سوال 13 (1 نمره)
دریافت سوال 13



تایید

سوال 14 (1 نمره)
دریافت سوال 14



تایید

سوال 15 (1 نمره)
دریافت سوال 15



تایید

سوال 16 (1 نمره)
دریافت سوال 16



تایید

سوال 17 (1 نمره)
دریافت سوال 17



تایید

سوال 18 (1 نمره)
دریافت سوال 18



تایید

سوال 19 (1 نمره)
دریافت سوال 19



تایید

سوال 20 (1 نمره)
دریافت سوال 20



تایید

سوال 21: شيمي  (1 نمره)
دریافت سوال 21



تایید

سوال 22 (1 نمره)
دریافت سوال 22



تایید

سوال 23 (1 نمره)
دریافت سوال 23



تایید

سوال 24 (1 نمره)
دریافت سوال 24



تایید

سوال 25 (1 نمره)
دریافت سوال 25



تایید

سوال 26 (1 نمره)
دریافت سوال 26



تایید

سوال 27 (1 نمره)
دریافت سوال 27



تایید

سوال 28 (1 نمره)
دریافت سوال 28



تایید

سوال 29 (1 نمره)
دریافت سوال 29



تایید

سوال 30 (1 نمره)
دریافت سوال 30



تایید

سوال 31: هندسه  (1 نمره)
دریافت سوال 31



تایید

سوال 32 (1 نمره)
دریافت سوال 32



تایید

سوال 33 (1 نمره)
دریافت سوال 33



تایید

سوال 34 (1 نمره)
دریافت سوال 34



تایید

سوال 35 (1 نمره)
دریافت سوال 35



تایید

سوال 36 (1 نمره)
دریافت سوال 36



تایید

سوال 37 (1 نمره)
دریافت سوال 37



تایید

سوال 38 (1 نمره)
دریافت سوال 38



تایید

سوال 39 (1 نمره)
دریافت سوال 39



تایید

سوال 40 (1 نمره)
دریافت سوال 40



تایید

سوال 41: زيست شناسي  (1 نمره)
دریافت سوال 41



تایید

سوال 42 (1 نمره)
دریافت سوال 42



تایید

سوال 43 (1 نمره)
دریافت سوال 43



تایید

سوال 44 (1 نمره)
دریافت سوال 44



تایید

سوال 45 (1 نمره)
دریافت سوال 45



تایید

سوال 46 (1 نمره)
دریافت سوال 46



تایید

سوال 47 (1 نمره)
دریافت سوال 47



تایید

سوال 48 (1 نمره)
دریافت سوال 48



تایید

سوال 49 (1 نمره)
دریافت سوال 49



تایید

سوال 50 (1 نمره)
دریافت سوال 50



تایید

سوال 51 : فارسي  (1 نمره)
دریافت سوال 51



تایید

سوال 52 (1 نمره)
دریافت سوال 52



تایید

سوال 53 (1 نمره)
دریافت سوال 53



تایید

سوال 54 (1 نمره)
دریافت سوال 54



تایید

سوال 55 (1 نمره)
دریافت سوال 55



تایید

سوال 56 (1 نمره)
دریافت سوال 56



تایید

سوال 57 (1 نمره)
دریافت سوال 57



تایید

سوال 58 (1 نمره)
دریافت سوال 58



تایید

سوال 59 (1 نمره)
دریافت سوال 59



تایید

سوال 60 (1 نمره)
دریافت سوال 60



تایید

سوال 61: عربي  (1 نمره)
دریافت سوال 61



تایید

سوال 62 (1 نمره)
دریافت سوال 62



تایید

سوال 63 (1 نمره)
دریافت سوال 63



تایید

سوال 64 (1 نمره)
دریافت سوال 64



تایید

سوال 65 (1 نمره)
دریافت سوال 65



تایید

سوال 66 (1 نمره)
دریافت سوال 66



تایید

سوال 67 (1 نمره)
دریافت سوال 67



تایید

سوال 68 (1 نمره)
دریافت سوال 68



تایید

سوال 69 (1 نمره)
دریافت سوال 69



تایید

سوال 70 (1 نمره)
دریافت سوال 70



تایید

سوال 71: دینی  (1 نمره)
دریافت سوال 71



تایید

سوال 72 (1 نمره)
دریافت سوال 72



تایید

سوال 73 (1 نمره)
دریافت سوال 73



تایید

سوال 74 (1 نمره)
دریافت سوال 74



تایید

سوال 75 (1 نمره)
دریافت سوال 75



تایید

سوال 76 (1 نمره)
دریافت سوال 76



تایید

سوال 77 (1 نمره)
دریافت سوال 77



تایید

سوال 78 (1 نمره)
دریافت سوال 78



تایید

سوال 79 (1 نمره)
دریافت سوال 79



تایید

سوال 80 (1 نمره)
دریافت سوال 80



تایید

سوال 81: زبان انگلیسی  (1 نمره)
دریافت سوال 81



تایید

سوال 82 (1 نمره)
دریافت سوال 82



تایید

سوال 83 (1 نمره)
دریافت سوال 83



تایید

سوال 84 (1 نمره)
دریافت سوال 84



تایید

سوال 85 (1 نمره)
دریافت سوال 85



تایید

سوال 86 (1 نمره)
دریافت سوال 86



تایید

سوال 87: در سوال های 87 تا 90 با توجه به متن زیر پاسخ صحیح را انتخاب کنید. (1 نمره)
دریافت سوال 87



تایید

سوال 88 (1 نمره)
دریافت سوال 88



تایید

سوال 89 (1 نمره)
دریافت سوال 89



تایید

سوال 90: پایان سوالات زبان انگلیسی  (1 نمره)
دریافت سوال 90



تایید