زیرساخت پایدار برگزاری آزمون آنلاین
www.digiform.ir

آزمون فصل5ریاضی هشتم شاهد به صورت دیجی فرم

ازمون مشتمل بر 10 سوال بمدت زمان40دقیقه است

digiform

استفاده از اپلیکیشن ها و پیامرسان ها، پاسخ به تماس ها و استفاده از کلید های پایین موبایل مجاز نیست

زمان تکمیل این آزمون 40 دقیقه میباشد

در هنگام شروع آزمون دوربین فعال میشود



مرحله بعد
نام و نام خانوادگی خود را وارد نمایید *



تایید

(1 نمره)
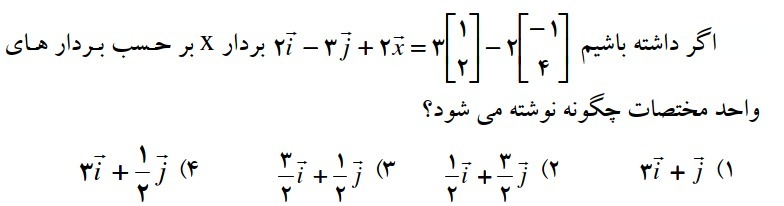
دریافت سوال 2



تایید

(1 نمره)
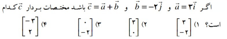
دریافت سوال 7



تایید

(1 نمره)
دریافت سوال 11



تایید

(1 نمره)
دریافت سوال 10



تایید

(1 نمره)
دریافت سوال 4



تایید

(1 نمره)
دریافت سوال 8



تایید

(1 نمره)
دریافت سوال 9



تایید

(1 نمره)
دریافت سوال 3



تایید

 شعبه:



تایید

(1 نمره)
دریافت سوال 5



تایید

(1 نمره)
دریافت سوال 6



تایید