زیرساخت پایدار برگزاری آزمون آنلاین
www.digiform.ir

آزمون کپی از آزمون ریاضی عمومی 1214516(1) به صورت دیجی فرم

digiform

استفاده از اپلیکیشن ها و پیامرسان ها، پاسخ به تماس ها و استفاده از کلید های پایین موبایل مجاز نیست

زمان تکمیل این آزمون 45 دقیقه میباشد

پس از پاسخ به هر سوال، امکان بازگشت و ویرایش پاسخ وجود ندارد



تایید و ادامه
نام و نام خانوادگی خود را وارد نمایید *



تایید

کد ملی خود را وارد نمایید *



تایید

(1 نمره)
دریافت سوال 21



تایید

(1 نمره)
دریافت سوال 12



تایید

(1 نمره)
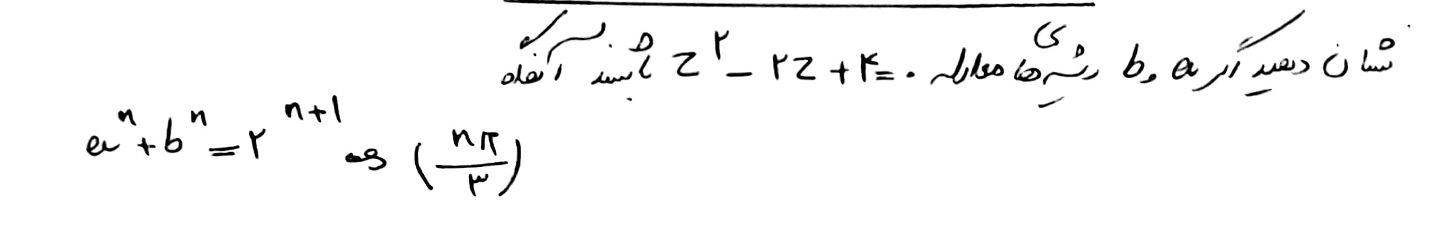
دریافت سوال 3



تایید