زیرساخت پایدار برگزاری آزمون آنلاین
www.digiform.ir

آزمون ماهانه بهمن ماه 12 تجربی . ریاضی3 به صورت دیجی فرم

بسمه تعالی 

آزمون ماهانه ریاضی3

بهمن 1400

دبیرستان عفت

* زمان امتحان 60 دقیقه می باشد
* در آخر سوالات حتما ثبت نهایی رو بزنید تا سوالاتتون ثبت بشه در غیر این صورت پاسخ شما قبل قبول نیست.

* بارم آزمون 12

* ارسال چرک نویس 3 نمره 

* فعالیت کلاسی 5 نمره

جمع بارم :20

digiform

استفاده از اپلیکیشن ها و پیامرسان ها، پاسخ به تماس ها و استفاده از کلید های پایین موبایل مجاز نیست

زمان تکمیل این آزمون 60 دقیقه میباشد



مرحله بعد
نام و نام خانوادگی خود را وارد نمایید *



تایید

۳)
اگر نقطه (۱،۲) اکسترمم نسبی تابع f(x)=x³+bx²+d باشد .‌مقدار b و d را به دست آورید. 
(2 نمره)



تایید

۱۲) 
به کمک رسم نمودار اکسترمم های نسبی تابع زیر را مشخص کنید.

(2 نمره)
دریافت سوال 12



تایید

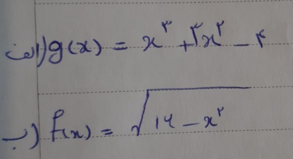
۸)
نقاط بحرانی تابع زیر را به دست آورید.
(2 نمره)
دریافت سوال 8



تایید

۲)
با تشکیل جدول تغییرات بازه های یکنوایی تابع زیر را مشخص کنید (2 نمره)
دریافت سوال 2



تایید

۵)

به کمک رسم نمودار تابع مقادیر اکسترمم نسبی و مطلق تابع زیر را در صورت وجود تعیین کنید (2 نمره)
دریافت سوال 5



تایید

۷)
نقاط بحرانی توابع زیر را به دست آورید.
(2 نمره)
دریافت سوال 7



تایید