زیرساخت پایدار برگزاری آزمون آنلاین
www.digiform.ir

آزمون ماهانه اسفند 1400 ریاضی هشتم دبیرستان دکتر گل نراقی به صورت دیجی فرم

گزینه های آزمون نمره منفی نداشته و زمان شرکت در آزمون برای بیست سوال تستی منتخب ار بانک سوالات حداکثر 75 دقیقه است. حتما قبل از اتمام وقت آزمون یا قبل ساعت 13 جواب ها را تایید و ثبت نهایی کنید. آزمون ساعت 11:30 بیست و یک اسفند فعال شده و لینک آزمون راس ساعت 13 همان روز به طور اتوماتیک غیرفعال میگردد. قلم و کاغذ همراه داشته و لطفا از ماشین حساب و دیگران کمک نگیرید. نتایج آزمون متعاقبا اعلام خواهد شد.

digiform

استفاده از اپلیکیشن ها و پیامرسان ها، پاسخ به تماس ها و استفاده از کلید های پایین موبایل مجاز نیست

زمان تکمیل این آزمون 75 دقیقه میباشد



تایید و ادامه
نام و نام خانوادگی خود را وارد نمایید *



تایید

شماره کلاس خود را وارد نمایید (مثال : 8/1) *



تایید

(1 نمره)
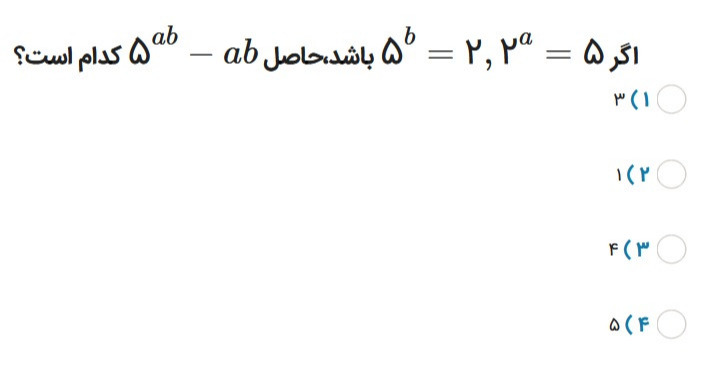
دریافت سوال 11



تایید

(1 نمره)
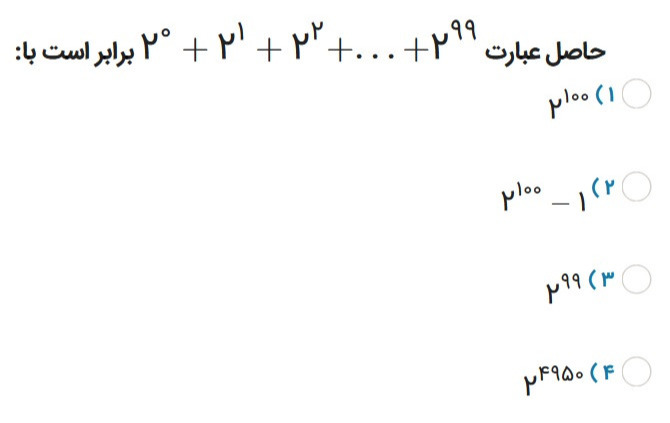
دریافت سوال 33



تایید

(1 نمره)
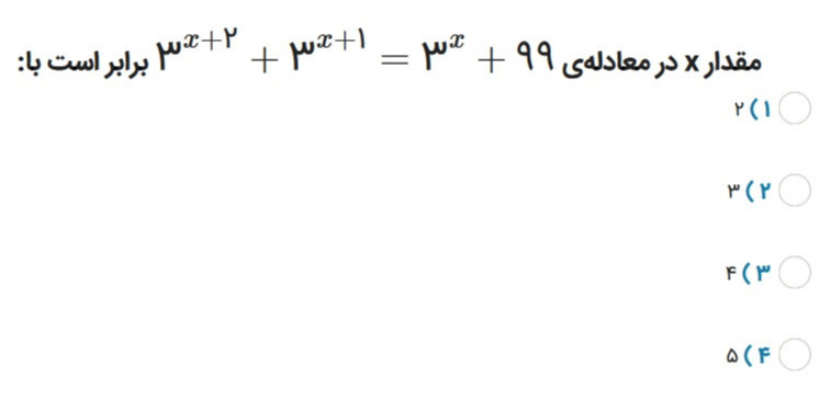
دریافت سوال 34



تایید

(1 نمره)
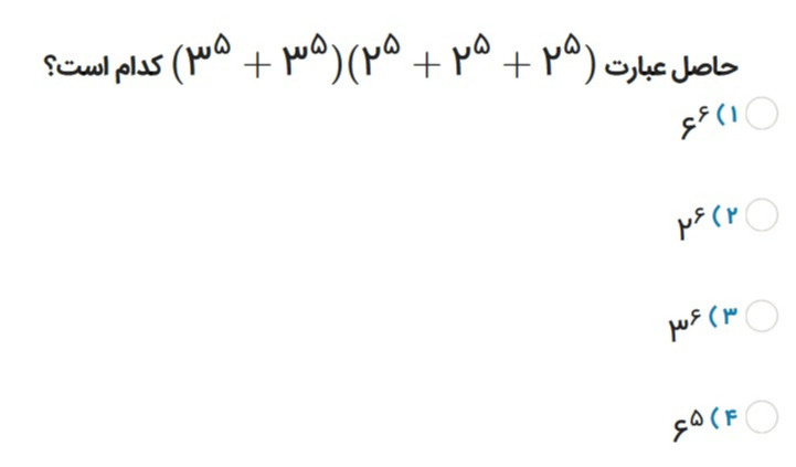
دریافت سوال 35



تایید

(1 نمره)
دریافت سوال 28



تایید

(1 نمره)
دریافت سوال 26



تایید

(1 نمره)
دریافت سوال 25



تایید

(1 نمره)
دریافت سوال 37



تایید

(1 نمره)
دریافت سوال 29



تایید

(1 نمره)
دریافت سوال 4



تایید

(1 نمره)
دریافت سوال 2



تایید

(1 نمره)
دریافت سوال 38



تایید

(1 نمره)
دریافت سوال 40



تایید

(1 نمره)
دریافت سوال 17



تایید

(1 نمره)
دریافت سوال 36



تایید

(1 نمره)
دریافت سوال 20



تایید

(1 نمره)
دریافت سوال 10



تایید

(1 نمره)
دریافت سوال 15



تایید

(1 نمره)
دریافت سوال 1



تایید

(1 نمره)
دریافت سوال 14



تایید