زیرساخت پایدار برگزاری آزمون آنلاین
www.digiform.ir

آزمون آمار واحتمال نوبت شهریور به صورت دیجی فرم

digiform

استفاده از اپلیکیشن ها و پیامرسان ها، پاسخ به تماس ها و استفاده از کلید های پایین موبایل مجاز نیست

زمان تکمیل این آزمون 50 دقیقه میباشد



مرحله بعد
نام و نام خانوادگی خود را وارد نمایید *



تایید

کد ملی خود را وارد نمایید *



تایید

- ساده شده عبارت  زیر کدام است؟     (1 نمره)
دریافت سوال 25



تایید

- مهمترین مزیت نمونه گیری خوشه ای در مقایسه با نمونه گیری تصادفی ساده کدام است (1 نمره)



تایید

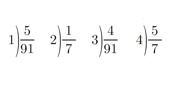
- با توجه به داده های مسئله ( 'A) P  چقدر است (1 نمره)
دریافت سوال 11



تایید

- در پرتاب یک تاس احتمال مشاهده  هر عدد متناسب با مربع همان عدد است در پرتاب این تاس مقدار ({3  و ۲})P  کدام است (1 نمره)
دریافت سوال 30



تایید

- عکس و نقیض گزاری " اگر a به توان دو عددی فرد باشد آنگاه a نیز عددی فرد است"  کدام است (1 نمره)



تایید

- هر چه فاصله دو عدد بازه ........باشد درصد اطمینان بیان شده ........ودر نتیجه بر آورد دقیق تر است (1 نمره)



تایید

- از بین ۸ نفر ۳ نفر به تصادف انتخاب می کنیم تعداد اعضای پیشا مد A که در آن فرد مورد نظر در بین آنها انتخاب شده باشد کدام است  (1 نمره)



تایید

  - درداده های ۸، ۷/۵ ، ۱۱ ،۸/۵ ،۱۰ ،۹ ، x  اگر میانه، مد ومیانگین برابر باشند x ‌کدام است (1 نمره)



تایید

- اگر A وB دو پیشامد مستقل و2/•= (A)P و
4/•=(AUB)P  باشند (B)P کدام است
(1 نمره)



تایید

-  میانگین ۱۷ داده آماری برابر با ۳۰ است اگر داده های ۲۹، ۱۹ و۱۲ را اضافه  کنیم میانگین جدید کدام است  (1 نمره)



تایید

- واریانس همواره عبارت است از میانگین...... (1 نمره)



تایید

- نقیض گزاره داده شده کدام است (1 نمره)
دریافت سوال 27



تایید

- احتمال موفقیت عمل جراحی برای شخصA برابر 9/•و برای شخصBبرابر  ۸/•است با کدام احتمال حداقل، عمل جراحی برای یکی از این دو نفر موفقیت   است (1 نمره)



تایید

- با توجه  به معلومات مسئله  احتمال  خواسته شده برابر کدام گزینه است  (1 نمره)
دریافت سوال 31



تایید

- در پرتاب دو تاس  اگر حداقل یکی از تاس ها ۴ ظاهر شود احتمال اینکه دو تاس دو عدد متوالی را نشان دهند چقدر است (1 نمره)
دریافت سوال 13



تایید

- در نمونه گیری تصادفی ساده اندازه 3=n  از جامعه  ۱،۲،۳،۴،۵ احتمال انتخاب نمونه ای که میانگین را ۴ برآورد کند کدام است (1 نمره)



تایید

-اگر دو مجموعه   A  وB برابر باشند حاصل XY  کدام است (1 نمره)
دریافت سوال 5



تایید

- اگر  [ 4, 1-]=A   و{3 , 1}=B باشد مساحت ناحیه محصور بین دو نمودار مختصاتیB×A و A×B  کدام است (1 نمره)



تایید

- از میان  اعداد۱،۲،۳،۴،۵  به تصادف ۳ عدد انتخاب میکنیم تعداد اعضاء  پیشامد " مجموع آن سه عدد زوج است" کدام است (1 نمره)



تایید

- با توجه به مجموعه داده شده کدام گزینه صحیح است (1 نمره)
دریافت سوال 28



تایید