زیرساخت پایدار برگزاری آزمون آنلاین
www.digiform.ir

آزمون ریاضی نوبت شهریور پایه هشتم دبیرستان دخترانه عفاف به صورت دیجی فرم

دانش آموز عزیز لطفا به سوالات زیر با دقت و در زمان مشخص شده پاسخ دهید و در انتها پاسخ های خود را ثبت کنید

digiform

استفاده از اپلیکیشن ها و پیامرسان ها، پاسخ به تماس ها و استفاده از کلید های پایین موبایل مجاز نیست

زمان تکمیل این آزمون 45 دقیقه میباشد



تایید و ادامه
نام و نام خانوادگی خود را وارد نمایید *



تایید

شماره کلاس خود را وارد نمایید *



تایید

رابطه فیثاغورس برای تمام مثلث ها درست است . (1 نمره)



تایید

مهره ای را از کیسه ی ۳۰ تایی بیرون می آوریم. احتمال اینکه مهره سفید باشد ۲ به ۵ است. چند مهره سفید  در این کیسه وجود دارد؟ (1 نمره)



تایید

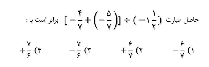
(1 نمره)
دریافت سوال 7



تایید

(1 نمره)
دریافت سوال 8



تایید

مقدار x را محاسبه کنید. (1 نمره)
دریافت سوال 6



تایید

در یک جدول آماری ، عدد مربوط به چوب خط همان فراوانی دسته می باشد . (1 نمره)



تایید

به زاویه ای که راس آن روی مرکز دایره و دو ضلع آن دو شعاع از دایره باشد..... می‌گويند.  (1 نمره)



تایید

اگر یک تاس و یک سکه را با هم پرتاب کنیم ، 12 حالت ممکن تشکیل می شود . (1 نمره)



تایید

اختلاف دو عدد اول 35 می باشد . مجموع این دو عدد کدام است ؟ (1 نمره)



تایید

در متوازی الاضلاع قطرها با هم برابرند . (1 نمره)



تایید

اختلاف بیشترین داده و کمترین داده ، برابر .... است. (1 نمره)



تایید

(1 نمره)
دریافت سوال 12



تایید