زیرساخت پایدار برگزاری آزمون آنلاین
www.digiform.ir

آزمون اعداد مختلط 10 تیر به صورت دیجی فرم

با توکل به خدای بزرگ پاسخ دهید

digiform

استفاده از اپلیکیشن ها و پیامرسان ها، پاسخ به تماس ها و استفاده از کلید های پایین موبایل مجاز نیست

زمان تکمیل این آزمون 20 دقیقه میباشد



تایید و ادامه
نام و نام خانوادگی خود را وارد نمایید *



تایید

شماره دانشجویی خود را وارد نمایید *



تایید

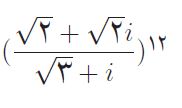
محاسبه کنید . توان یک سوم هست.
دریافت سوال 3



تایید

محاسبه کنید.
دریافت سوال 6



تایید