زیرساخت پایدار برگزاری آزمون آنلاین
www.digiform.ir

آزمون ریاضی 1، میانترم دوم، سوال 2 به صورت دیجی فرم

با توکل به خدای بزرگ پاسخ دهید.

digiform

استفاده از اپلیکیشن ها و پیامرسان ها، پاسخ به تماس ها و استفاده از کلید های پایین موبایل مجاز نیست

زمان تکمیل این آزمون 13 دقیقه میباشد

پس از پاسخ به هر سوال، امکان بازگشت و ویرایش پاسخ وجود ندارد



تایید و ادامه
نام و نام خانوادگی خود را وارد نمایید *



تایید

رشته تحصیلی خود را وارد نمایید *



تایید

شماره دانشجویی خود را وارد نمایید *



تایید

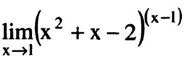
حد زیر را به کمک قاعده هوپیتال بیابید.
دریافت سوال 3



تایید