زیرساخت پایدار برگزاری آزمون آنلاین
www.digiform.ir

آزمون امتحان شهریور ماه 99 هنرستان اتابک درس ریاضی 1 پودمان3 به صورت دیجی فرم

تعداد سوالات امتحان 3 سوال در صورتی که در این پودمان مردود شده اید پاسخ دهید !

digiform

استفاده از اپلیکیشن ها و پیامرسان ها، پاسخ به تماس ها و استفاده از کلید های پایین موبایل مجاز نیست

زمان تکمیل این آزمون 12 دقیقه میباشد

پس از پاسخ به هر سوال، امکان بازگشت و ویرایش پاسخ وجود ندارد

در هنگام شروع آزمون دوربین فعال میشود



تایید دوربین
نام و نام خانوادگی خود را وارد نمایید *



تایید

رشته تحصیلی خود را وارد نمایید *



تایید

کد ملی خود را وارد نمایید *



تایید

1-کدام یک از معادله های زیر معادله درجه دوم است ؟ الف: 6=(3X+2)(X-1) ب: X+1)(2X-1 ) = X)



تایید

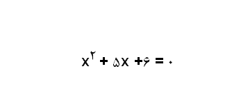
3- جواب های معادله زیر از طریق روش جبری کدام است ؟
دریافت سوال 3



تایید

2- هنرستان اهورا یک زمین بازی به ابعاد 10/5 متر × 21 متر دارد. محیط و مساحت زمین بازی کدام است ؟



تایید