زیرساخت پایدار برگزاری آزمون آنلاین
www.digiform.ir

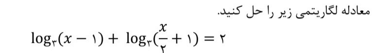
آزمون سوال 4 کلاس 301 به صورت دیجی فرم

آزمون حسابان 1 کلاس 301   میان ترم دوم    دبیرستان شاهد هفتم تیر     اسفند 1400

digiform

استفاده از اپلیکیشن ها و پیامرسان ها، پاسخ به تماس ها و استفاده از کلید های پایین موبایل مجاز نیست

زمان تکمیل این آزمون 15 دقیقه میباشد

پس از پاسخ به هر سوال، امکان بازگشت و ویرایش پاسخ وجود ندارد



تایید و ادامه
نام و نام خانوادگی خود را وارد نمایید *



تایید

(2.5 نمره)
دریافت سوال 3



تایید