زیرساخت پایدار برگزاری آزمون آنلاین
www.digiform.ir

آزمون ازمون آغازین ریاضی یازدهم ادبیات به صورت دیجی فرم

به هفت سوال اول پاسخ دهید

digiform

استفاده از اپلیکیشن ها و پیامرسان ها، پاسخ به تماس ها و استفاده از کلید های پایین موبایل مجاز نیست

پس از پاسخ به هر سوال، امکان بازگشت و ویرایش پاسخ وجود ندارد



تایید و ادامه
نام و نام خانوادگی خود را وارد نمایید *



تایید

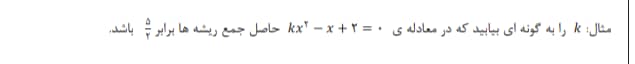
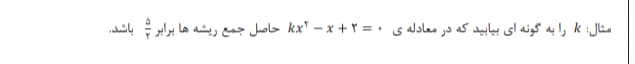
سوال15 معادله زیر را به روش ذکر شده حل کنید
دریافت سوال 15



تایید

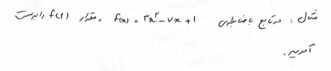
سوال4
دریافت سوال 4



تایید

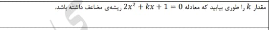
سوال8
دریافت سوال 8



تایید

سوال19
دریافت سوال 19



تایید

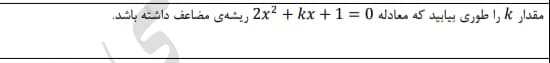
سوال12 معادله زیر را به روش ذکر شده حل کنید.
دریافت سوال 12



تایید

سوال6
دریافت سوال 6



تایید

سوال3
دریافت سوال 3



تایید

سوال5
دریافت سوال 5



تایید

سوال 1
دریافت سوال 1



تایید

سوال14 معادله زیر را به روش ذکر شده حل کنید
دریافت سوال 14



تایید

سوال2
دریافت سوال 2



تایید

سوال17
دریافت سوال 17



تایید

سوال7
دریافت سوال 7



تایید

سوال18
دریافت سوال 18



تایید

سوال20
دریافت سوال 20



تایید

سوال11
دریافت سوال 11



تایید

سال9
دریافت سوال 9



تایید

سوال13 معادله زیر را به روش ذکر شده حل کنید
دریافت سوال 13



تایید

سوال10
دریافت سوال 10



تایید

سوال16 معادله زیر را به روش ذکر شده حل کنید
دریافت سوال 16



تایید