زیرساخت پایدار برگزاری آزمون آنلاین
www.digiform.ir

آزمون تستی نوبت دوم درس حسابان1 به صورت دیجی فرم

اداره آموزش و پرورش شهرستان اردل
مدرسه شهید رجایی اردل
طراح: هادی صادقی

digiform

استفاده از اپلیکیشن ها و پیامرسان ها، پاسخ به تماس ها و استفاده از کلید های پایین موبایل مجاز نیست

زمان تکمیل این آزمون 40 دقیقه میباشد

در هنگام شروع آزمون دوربین فعال میشود



مرحله بعد
نام و نام خانوادگی خود را وارد نمایید *



تایید

(2 نمره)
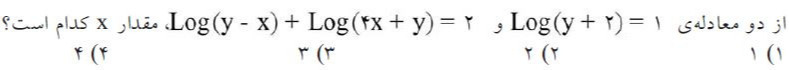
دریافت سوال 4



تایید

(2 نمره)
دریافت سوال 5



تایید

(2 نمره)
دریافت سوال 41



تایید

(2 نمره)
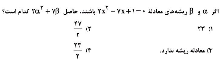
دریافت سوال 31



تایید

(2 نمره)
دریافت سوال 33



تایید

(2 نمره)
دریافت سوال 45



تایید

(2 نمره)
دریافت سوال 21



تایید

(2 نمره)
دریافت سوال 28



تایید

(2 نمره)
دریافت سوال 29



تایید

(2 نمره)
دریافت سوال 9



تایید