زیرساخت پایدار برگزاری آزمون آنلاین
www.digiform.ir

آزمون آغازین هشتم به صورت دیجی فرم

دانش آموزان عزیز با دقت به سوالات پاسخ دهید آزمون نمره منفی ندارد.

digiform

استفاده از اپلیکیشن ها و پیامرسان ها، پاسخ به تماس ها و استفاده از کلید های پایین موبایل مجاز نیست

زمان تکمیل این آزمون 22 دقیقه میباشد

پس از پاسخ به هر سوال، امکان بازگشت و ویرایش پاسخ وجود ندارد



تایید و ادامه
نام و نام خانوادگی خود را وارد نمایید *



تایید

نام معلم خود را وارد نمایید *



تایید

کدام عدد از بقیه بزرگتر است؟
دریافت سوال 1



تایید

دریافت سوال 2



تایید

دریافت سوال 3



تایید

حاصل عبارت مقابل چند است؟
دریافت سوال 4



تایید

سارا نصف پولش را کتاب ویک سوم بقیه را دفتر خریداگر ۲۴۰۰تومان برایش باقی مانده باشد کل پول او چند تومان بوده است؟



تایید

مکمل زاویه ۱۶۰ چند درجه ازمتمم زاویه۱۰ درجه کوچکتر است؟



تایید

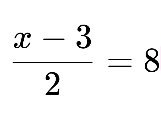
در معادله مقابل xکدام است؟
دریافت سوال 7



تایید

مریم گفت برای دیوارهای اتاق من۷۲متر مربع کاغذ دیواری لازم است اگر تمام ابعاد اتاقش برابر باشد طول اتاق اوتقریبا چند متر است؟



تایید

جمله هر عدد طبیعی حداقل یک شمارنده اول دارد درست است یا نادرست؟



تایید

حاصل عبارت مقابل چند است؟
دریافت سوال 10



تایید