زیرساخت پایدار برگزاری آزمون آنلاین
www.digiform.ir

آزمون آزمون آغازین ویژه دوازدهم ریاضی به صورت دیجی فرم

دانش آموز عزیز ضمن آرزوی موفقیت برای شما توجه به موارد زیر الزامیست: 1-نام و نام خانوادگی دقیق دانش آموز باید درج شود(در صورت نبود مشخصات دانش آموزی سیستم پیش فرض درصد صفر برای دانش آموز ثبت خواهد کرد) 2-تنها یک بار امکان شرکت در آزمون وجود دارد.شرکت بیش از یک بار به هر نحوی غیرمجاز است. 3-به مدت زمان آزمون توجه شود 4-به دلیل جلوگیری از مشکلات احتمالی حد الامکان با کامپیوتر در آزمون شرکت کنید.

digiform

استفاده از اپلیکیشن ها و پیامرسان ها، پاسخ به تماس ها و استفاده از کلید های پایین موبایل مجاز نیست

زمان تکمیل این آزمون 130 دقیقه میباشد



تایید و ادامه
نام و نام خانوادگی خود را وارد نمایید *



تایید

کد ملی خود را وارد نمایید *



تایید

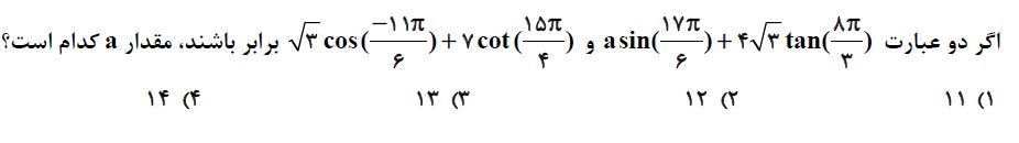
سوالات ریاضی و حسابان 1-
دریافت سوال 1



تایید

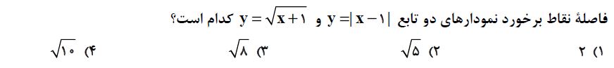
2-
دریافت سوال 2



تایید

3-
دریافت سوال 3



تایید

4-
دریافت سوال 4



تایید

5-
دریافت سوال 5



تایید

6-
دریافت سوال 6



تایید

7-
دریافت سوال 7



تایید

8-
دریافت سوال 8



تایید

9-
دریافت سوال 9



تایید

10-
دریافت سوال 10



تایید

11-
دریافت سوال 11



تایید

12-
دریافت سوال 12



تایید

13-
دریافت سوال 13



تایید

14-
دریافت سوال 14



تایید

15-
دریافت سوال 15



تایید

سوالات فیزیک 1-
دریافت سوال 16



تایید

2-
دریافت سوال 17



تایید

3-
دریافت سوال 18



تایید

4-
دریافت سوال 19



تایید

-5
دریافت سوال 20



تایید

6-
دریافت سوال 21



تایید

7-
دریافت سوال 22



تایید

8-
دریافت سوال 23



تایید

9-
دریافت سوال 24



تایید

10-
دریافت سوال 25



تایید

11-
دریافت سوال 26



تایید

12
دریافت سوال 27



تایید

13-
دریافت سوال 28



تایید

14-
دریافت سوال 29



تایید

15-
دریافت سوال 30



تایید