زیرساخت پایدار برگزاری آزمون آنلاین
www.digiform.ir

آزمون آغازین ریاضی هشتم به صورت دیجی فرم

digiform

استفاده از اپلیکیشن ها و پیامرسان ها، پاسخ به تماس ها و استفاده از کلید های پایین موبایل مجاز نیست

زمان تکمیل این آزمون 15 دقیقه میباشد

پس از پاسخ به هر سوال، امکان بازگشت و ویرایش پاسخ وجود ندارد



تایید و ادامه
نام و نام خانوادگی خود را وارد نمایید *



تایید

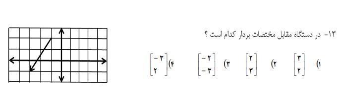
دریافت سوال 13



تایید

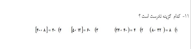
دریافت سوال 8



تایید

دریافت سوال 4



تایید

دریافت سوال 12



تایید

دریافت سوال 7



تایید

دریافت سوال 1



تایید

دریافت سوال 10



تایید

دریافت سوال 15



تایید

دریافت سوال 14



تایید

دریافت سوال 2



تایید

دریافت سوال 6



تایید

دریافت سوال 5



تایید

دریافت سوال 9



تایید

دریافت سوال 3



تایید

دریافت سوال 11



تایید