زیرساخت پایدار برگزاری آزمون آنلاین
www.digiform.ir

آزمون پایانی ریاضی 2 به صورت دیجی فرم

دانش آموزان عزیز لطفا زمان امتحان را در نظر داشته باشید 

digiform

استفاده از اپلیکیشن ها و پیامرسان ها، پاسخ به تماس ها و استفاده از کلید های پایین موبایل مجاز نیست

زمان تکمیل این آزمون 30 دقیقه میباشد



تایید و ادامه
نام و نام خانوادگی خود را وارد نمایید *



تایید

(1 نمره)
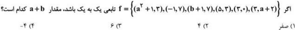
دریافت سوال 1



تایید

(1 نمره)
دریافت سوال 2



تایید

(1 نمره)
دریافت سوال 18



تایید

(1 نمره)
دریافت سوال 6



تایید

(1 نمره)
دریافت سوال 20



تایید

(1 نمره)
دریافت سوال 7



تایید

(1 نمره)
دریافت سوال 17



تایید

(1 نمره)
دریافت سوال 13



تایید

(1 نمره)
دریافت سوال 15



تایید

(1 نمره)
دریافت سوال 16



تایید