زیرساخت پایدار برگزاری آزمون آنلاین
www.digiform.ir

آزمون فصل اول هشتم به صورت دیجی فرم

به نام خدا
سوالات را با دقت پاسخ دهید

digiform

استفاده از اپلیکیشن ها و پیامرسان ها، پاسخ به تماس ها و استفاده از کلید های پایین موبایل مجاز نیست

زمان تکمیل این آزمون 20 دقیقه میباشد

پس از پاسخ به هر سوال، امکان بازگشت و ویرایش پاسخ وجود ندارد



تایید و ادامه
نام و نام خانوادگی خود را وارد نمایید *



تایید

دریافت سوال 8



تایید

دریافت سوال 6



تایید




تایید

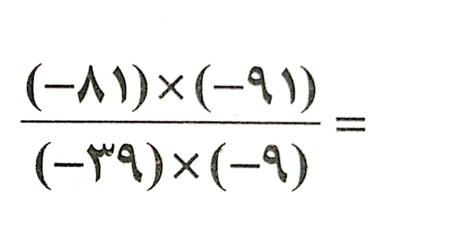
حاصل عبارت تصویر زیر را به دست آورید. (1 نمره)
دریافت سوال 2



تایید

کسر تصویر زیر را تا جای امکان ساده کنید.ابتدا علامت کسر را مشخص کنید.
دریافت سوال 3



تایید

در شکل زیر مجهول را به دست آورید.
دریافت سوال 4



تایید

دو کسر مساوی کسری زیر ، کدام است؟
کسر (قرینه ی منفی ۴ و هفت هشتم) (1 نمره)



تایید

دریافت سوال 7



تایید

حاصل عبارت تصویر کدام گزینه است؟
دریافت سوال 5



تایید