زیرساخت پایدار برگزاری آزمون آنلاین
www.digiform.ir

آزمون مستمر اسفند ریاضی 1_ دهم ریاضی_ دبیرستان ستارگان درخشان به صورت دیجی فرم

تعداد سوالات 5: سوالات به صورت تصادفی برای هر دانش آموز
توسط سیستم انتخاب می شود.


مدت آزمون: 60 دقیقه است.

لطفا پاسخ تشریحی را علاوه بر بارگذاری در سایت ، بصورت PDF به واتساپ شخصی
در زمان مقرر ارسال کنید. (ارسالی بعد از زمان مقرر تصحیح نخواهد شد)


در صورت خروج از سایت به هر دلیلی ، آزمون تمام شده و امکان
حضور مجدد وجود ندارد.

digiform

استفاده از اپلیکیشن ها و پیامرسان ها، پاسخ به تماس ها و استفاده از کلید های پایین موبایل مجاز نیست

زمان تکمیل این آزمون 60 دقیقه میباشد



مرحله بعد
نام و نام خانوادگی خود را وارد نمایید *



تایید

(2 نمره)
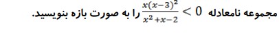
دریافت سوال 5



تایید

(2 نمره)
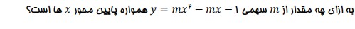
دریافت سوال 11



تایید

(2 نمره)
دریافت سوال 12



تایید

(2 نمره)
دریافت سوال 21



تایید

(2 نمره)
دریافت سوال 7



تایید